在海拔20~100 km范圍內的地球空間內,氣壓低(0.02~6000 Pa)、氣溫低(-80 °C~20 °C),聲速剖面復雜;稀薄大氣中的聲頻散(聲速隨頻率變化)會嚴重影響聲探測的結果。目前國內外尚無關于低溫稀薄環境中聲頻散的系統研究。
為解決這一問題,中國科學院聲學研究所超聲學實驗室博士生孫冠文與其導師林偉軍研究員等人利用深空環境模擬容器對低溫低壓氮氣中的聲頻散進行了理論和實驗研究,首次揭示了低溫對稀薄氮氣中聲頻散的影響。
相關成果在線發表于學術期刊The Journal of American Society of Acoustics。
研究人員基于Navier-Stokes(NS)方程和等效熱容理論計算了雙原子氮氣的平動自由度和轉動自由度分別產生的聲頻散。基于深空環境模擬平臺,利用先進的壓控、溫控和保溫系統模擬臨近空間大氣,實驗測量了不同氣壓和氣溫下的氮氣聲速,分析了氣溫與聲頻散的關系。
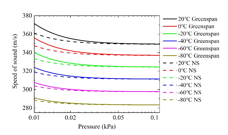
由理論模擬和實驗數據可知,稀薄氮氣的聲速隨著氣壓(氣壓和頻率的比值)降低而升高;且氣溫越低、聲頻散越弱。實驗測量的聲頻散數據可用于修正大氣聲速剖面,為臨近空間聲探測提供基本參數。
本研究得到國家自然科學基金(No.11874385)、中國科學院A類戰略性先導科技專項(No.XDA17040505和XDA15011900)的資助。

圖1 Navier-Stokes方程計算不同溫度下氮氣聲速隨氣壓變化曲線(圖/中國科學院聲學研究所)

圖2?實驗測量氮氣聲速隨氣壓變化曲線(圖/中國科學院聲學研究所)
關鍵詞:
臨近空間;稀薄氣體;聲頻散;聲速測量
參考文獻:
Guanwen Sun, Hanyin Cui, Chao Li, Weijun Lin, and Chang Su. Experimental and theoretical investigations of dispersion of ultrasonic waves in the low-temperature and low-pressure nitrogen gas. The Journal of the Acoustical Society of America, 153, 821-834 (2023).?DOI:?10.1121/10.0017097
論文鏈接:

